

연구성과와 행사 소식은 물론, 기자와 작가들이 전하는 다채로운 UNIST의 모습을 만나보세요.
바닷물로 전기 저장하는‘해수전지’, 나무 찌꺼기로 성능 높인다!
|
|
|
|
|
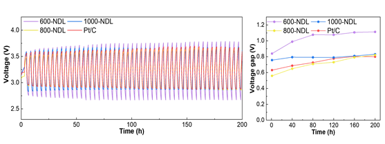
해수전지는 바닷물로 전기를 저장하고 꺼내 쓸 수 있는 차세대 에너지 저장장치다. 상용화 관건은 값싼 촉매 물질 개발인데 UNIST 연구진이 이러한 촉매를 개발했다. UNIST 이동욱 교수팀은 목재 폐기물에 요소를 첨가해 해수전지용 고성능 촉매를 개발했다. 개발된 촉매는 해수전지에 걸리는 과전압을 낮추고 전기를 빠르게 꺼내 쓸 수 있게 반응 속도를 높여 주는 물질이다. 기존에는 백금과 같은 고가의 물질을 촉매로 썼다. 연구팀이 개발한 촉매는 저렴한 리그닌과 요소를 기반으로 한다. 리그닌은 목재의 15~35%를 구성하는 성분으로, 종이를 만드는 공정이나 바이오 연료 생산 과정에서 남는 부산물이다. 산업 폐수에 주로 포함된 요소는 질소가 많이 포함되어 있다. 이 리그닌을 800°C에서 태운 뒤 요소와 같은 온도에서 반응시키면 리그닌 구석구석 질소가 첨가(doping)돼 고성능 촉매가 만들어진다. 리그닌을 구성하는 특정 탄소 원자 자리에 대신 들어간 질소는 방전에 필요한 에너지를 크게 낮추는 것으로 분석됐다. 개발된 촉매를 해수전지 전극에 입혀 성능을 실험해 본 결과, 백금 촉매와 비등한 성능을 보였다. 특히 과전압은 백금(Pt/C) 촉매보다 더 낮은 값을 보였다. 과전압이 낮을수록 충전시킨 전기에너지 중 방전으로 뽑아 쓸 수 있는 에너지 비율이 높다. 최대 전력 밀도 또한 15.76 mW/cm²로 백금 촉매(16.15 mW/cm²)에 근접한 수준을 기록했다. 최대 전력 밀도는 방전 속도와 관련 있는 지표다. 이동욱 에너지화학공학과 교수는 “고가의 귀금속 촉매를 대체할 뿐만 아니라, 바이오매스와 산업 폐기물의 가치를 극대화한 탄소중립적 접근법을 제시했다”며 “금속-공기 배터리 등 다양한 에너지 저장 시스템에도 활용할 수 있을 것”이라고 말했다. 이번 연구는 UNIST 에너지화학공학과 홍지환 석사과정생과 송인우 석사가 제1저자로 참여했으며, 한국연구재단(NRF) ‘중견연구자 지원사업’과 ‘나노·미래소재원천기술개발사업’의 지원을 받아 수행됐다. 연구 성과는 국제 학술지 ‘케미컬 엔지니어링 저널(Chemical Engineering Journal)’ 2월호에 게재됐다. (논문명: N-doped Carbonized Lignin for Electrocatalysts in Seawater Batteries) |
|
|
|
[붙임] 연구결과개요 |
|
1.연구배경 지구 온난화와 기후 변화에 대응하기 위해 화석 연료에서 재생 가능한 에너지로 전환하는 것이 시급한 과제가 되고 있다. 특히, 재생 에너지의 확대에 따라 이를 저장할 효율적이고 지속 가능한 에너지 저장 시스템(ESS)의 필요성이 증가하고 있다. 기존의 리튬 이온 배터리가 ESS 기술의 주류로 자리 잡고 있지만, 리튬 자원의 비용 상승과 환경적 문제는 대안 기술의 개발을 요구하고 있다. 해수전지는 바닷물을 전해질로 사용하는 나트륨-공기 배터리로, 친환경적이며 이론적으로 높은 에너지 밀도를 제공하는 차세대 ESS로 주목받고 있다. 하지만 산소 발생 반응(OER)과 산소 환원 반응(ORR)의 느린 반응 속도와 높은 과전압이 실용화를 저해하는 주요 요인으로 작용하고 있다. 이를 해결하기 위해 기존에는 백금(Pt), 이리듐(Ir), 루테늄(Ru)과 같은 귀금속 촉매가 사용되었지만, 이들 촉매는 높은 비용과 한정된 매장량으로 인해 경제적 한계를 지니고 있다. 이에 따라 바이오매스를 활용한 저비용 탄소 기반 촉매 개발이 대안으로 떠오르고 있다. 특히, 리그닌은 자연에서 가장 풍부한 방향족 폴리머로, 제지 및 바이오에탄올 제조 과정에서 부산물로 생성된다. 그러나 복잡한 구조와 다양한 기능성 그룹으로 인해 기존에는 주로 연료로만 사용되며, 잠재력을 충분히 활용하지 못했다. 이번 연구에서는 리그닌과 요소(urea)를 활용한 질소 도핑 탄화 리그닌(NDL-800)을 개발하여, 고비용 귀금속 촉매를 대체할 수 있는 지속 가능한 촉매 설계의 가능성을 입증했다. 리그닌의 탄화 및 활성화를 통해 다공성 구조를 형성하고, 요소의 질소를 활용해 산소 환원 반응을 촉진하는 촉매를 제작했다.
2.연구내용 리그닌 활성화 과정에서는 KOH를 사용하여 약 2345.5 m²/g의 높은 표면적과 미세 기공 구조를 갖는 탄소 재료를 제작하였다. 다양한 활성화 온도(600°C, 800°C, 1000°C)에서 실험을 진행한 결과, 800°C에서 활성화된 샘플(800-CL)이 가장 높은 표면적과 미세 기공 비율을 나타내어 최적의 촉매 특성을 나타났다. 이러한 결과를 바탕으로 800-CL 샘플을 선택하여 추가적인 질소 도핑 공정을 수행했다. 질소 도핑 과정에서는 요소(urea)를 도핑제로 활용하여 전기화학적 활성도를 향상시키는 데 초점을 맞췄다. 질소 도핑은 탄소 표면에 전하 분포를 변화시켜 산소 흡착 및 환원 반응에 유리한 환경을 제공하며, 특히 피리딘 질소의 형성이 촉매 성능에 중요한 역할을 한다. 800°C에서 도핑된 샘플(800-NDL)은 피리딘 질소 함량이 가장 높았으며, 이는 산소환원반응(ORR) 활성 증가에 크게 기여하는 것으로 나타났다. 전기화학적 평가를 통해 800-NDL 촉매는 상용 Pt/C 촉매와 유사한 성능을 보였으며, 특히 전압 차는 0.71V로 Pt/C 촉매(0.74V)보다 낮아 더 높은 효율성을 입증했다. 또한, 최대 전력 밀도는 15.76 mW/cm²로 Pt/C 촉매(16.15 mW/cm²)에 근접한 수준을 기록하며, 실용적인 대안으로서의 가능성을 보였다. 추가적으로, 해수 전지의 충방전 실험에서 800-NDL은 우수한 안정성과 회복성을 보여 고성능 촉매로서의 잠재력을 확인했다. 경제성 평가 결과, 800-NDL 촉매의 생산 비용은 Pt/C 촉매의 약 30% 수준으로 분석되었으며, 이는 상업적 대규모 생산 시 더욱 낮아질 가능성을 보여준다. 특히, 실험실 규모의 고가 원료를 사용한 경우에도 경제적 이점을 확보한 점은, 향후 산업 부산물 및 폐기물을 활용한 생산 공정 개발 시 높은 경제적 잠재력을 지니고 있다는 의미다. 3.기대효과 리그닌과 요소를 활용한 질소 도핑 촉매를 통해 해수 전지의 효율성과 경제성을 크게 향상시킬 수 있음을 입증했다. Pt/C 촉매 대비 약 70% 이상의 비용 절감 효과와 바이오폐기물의 재활용을 통해 친환경적이고 지속 가능한 에너지 저장 기술 개발에 기여할 것으로 기대된다. 또 개발된 촉매는 해수 전지뿐 아니라 금속-공기 전지, 연료 전지 등 다양한 에너지 시스템에 활용 가능하며, 이를 통해 새로운 시장 창출과 산업 성장에 기여할 수 있을 것이다. |
|
[붙임] 용어설명 |
|
1.산소 환원 반응(Oxygen Reduction Reaction, ORR) 산소 환원 반응은 전기화학 시스템, 특히 배터리 및 연료 전지에서 중요한 역할을 하는 반응으로, 산소 분자가 전자를 받아 환원되어 물(H₂O)이나 하이드록시 이온(OH⁻)으로 전환되는 과정이다. 이 반응은 배터리가 방전하는 과정에서 발생하며, 전기 에너지를 생성하는 핵심 단계로 작용한다. 2.질소 도핑(Nitrogen Doping) 질소는 탄소보다 높은 전기음성도를 가지므로 탄소-질소 결합(C–N)을 형성할 때 탄소 구조 내에서 전자밀도 분포를 변화시킨다. 질소 도핑은 탄소 구조 내 활성 부위(Active Site)를 형성하여 산소 분자의 흡착을 촉진하고 반응 속도를 증가시켜 전기화학적 반응에서 전자 전달을 강화하고, 전도성을 개선하는 데 기여한다. 3.피리딘 질소(Pyridinic Nitrogen) 탄소 기반 구조에서 질소 도핑 이후 형성되는 다양한 질소 결합 형태 중 하나로, 산소 환원 반응(Oxygen Reduction Reaction, ORR)을 촉진하는 데 가장 중요한 역할을 하는 활성 부위이다. 피리딘 질소는 육각형의 그래핀 구조 내 탄소 고리의 가장자리에 위치하며, 한 개의 탄소 원자를 대체해 질소 원자로 치환된 형태를 가진다. 4.다공성 구조(Porous Structure) 다공성 구조는 소재 내부에 미세한 구멍(기공, Pore)이 존재하는 구조적 특성을 의미. 이러한 구조는 높은 표면적과 기공 크기 분포를 제공하며, 전기화학적 반응에서 중요한 역할을 함. 특히, 촉매와 같은 응용 분야에서 다공성 구조는 반응 활성 부위를 증가시키고, 전해질과의 상호작용을 강화하여 전기화학적 성능을 극대화하는 데 중요한 요소로 작용. |
|
[붙임] 그림설명 |
|
그림 1 해수전지의 구조(좌측)와 본 연구에서 개발된 촉매의 도식(우측) |
|
UNIST 홍보팀 news@unist.ac.kr TEL : 052)217-1230FAX : 052)217-1229 |